The versatile opening method of hyaluronic acid: skincare, wound repair, food applications, and full chain support for landing

With the maturity of microbial fermentation technology, the production of hyaluronic acid has achieved high efficiency, low cost, and scale, laying the foundation for its wide application in the fields of medicine, cosmetics, and functional foods.
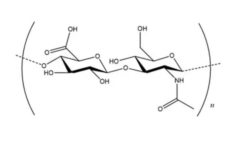
1. Basic characteristics and safety of hyaluronic acid Hyaluronic acid is composed of N-acetyl-D-glucosamine and D-glucuronic acid alternately connected, and a large number of hydroxyl groups on its molecular chain can bind to a large number of water molecules, forming a strong hydration network.
Hyaluronic acid with different molecular weights plays different roles in the skin: low molecular weight HA can penetrate deep into the skin and enhance internal moisture; Polymer HA forms a moisturizing film on the surface to prevent moisture loss. Multiple toxicological studies and clinical trials have confirmed that hyaluronic acid has good safety.
In animal experiments, its median lethal dose is much higher than the daily intake level; In human trials, long-term oral administration of high-dose hyaluronic acid did not show any adverse reactions, and it has no antigenicity and is not considered an allergen.

2. The role of hyaluronic acid in skin anti-aging: Skin aging is accompanied by a decrease in extracellular matrix components such as hyaluronic acid and collagen. Exogenous supplementation of hyaluronic acid can significantly improve skin aging symptoms.
Clinical studies have shown that local application of hyaluronic acid with different molecular weights can effectively reduce wrinkle depth, improve skin elasticity and moisture content. The combined use of flavonoids and other ingredients can further enhance anti-aging effects.
In terms of photoaging, hyaluronic acid alleviates skin photodamage by inhibiting the expression of inflammatory factors induced by ultraviolet radiation, reducing collagen degradation, and promoting endogenous HA synthesis.
Animal experiments have shown that oral administration of low molecular weight hyaluronic acid can not only improve skin moisture and thickness, but also upregulate HAS2 gene expression, promoting skin self repair.

3. Application of Hyaluronic Acid in Skin Moisturizing and Barrier Repair Hyaluronic acid has extremely strong water absorption ability and can combine moisture equivalent to thousands of times its own weight, significantly enhancing skin hydration.
Clinical studies have confirmed that taking 120mg of hyaluronic acid orally daily for 12 consecutive weeks can significantly increase the moisture content of the stratum corneum, reduce transdermal water loss, and improve skin elasticity and wrinkle condition.
4. The potential of hyaluronic acid in wound healing and inflammatory skin diseases. During the wound healing process, hyaluronic acid accelerates angiogenesis and tissue repair by promoting the expression of vascular endothelial growth factor (VEGF) and basic fibroblast growth factor (bFGF).
In addition, hyaluronic acid has also been shown to regulate immune responses and alleviate symptoms in inflammatory skin diseases such as atopic dermatitis (AD) and rosacea. Research has found that hyaluronic acid with different molecular weights can regulate Th1/Th2 immune responses separately, providing new ideas for personalized therapy.

5. Development status of hyaluronic acid as a functional food Since China approved sodium hyaluronate as a new resource food in 2008, its application scope has gradually expanded to multiple fields such as dairy products, beverages, and candies.
Japan, South Korea, the United States and other countries have also widely used hyaluronic acid in dietary supplements and functional foods. Research has shown that oral hyaluronic acid not only improves skin condition, but also has the potential to regulate gut microbiota and enhance intestinal barrier function, opening up a new path for its use in the development of prebiotic products.
Although significant progress has been made in the research of hyaluronic acid in the field of skin health, its role in skin barrier function, immune regulation, and molecular mechanisms still needs further exploration.

Future research should focus on the metabolic pathways, biological activities, and applications of hyaluronic acid with different molecular weights in tissue engineering and regenerative medicine, in order to promote the scientific and precise development of hyaluronic acid in the field of skin health.
With the continuous expansion of the application scenarios of hyaluronic acid, the "landing gap" between laboratory research and industrial production is becoming increasingly prominent.
At this critical stage, Bailun Biotechnology can provide a one-stop solution for hyaluronic acid related projects, from strain construction, process optimization to GMP level production.



